陶哲轩震撼,数学家1975年埋下的「坑」,被AI和全球网友用48小时填平了
2025年12月15日 10:22·36kr
48小时,50年数学谜题就被破解!AI与全球数学家梦幻联动,从游戏分硬币到正方形填充,层层拆解埃尔德什遗留难题,人机协作彻底引爆了数学研究新范式。
刚刚,AI又破解了一个数学难题!
Erdos#1026问题已经被攻克,且给出了正式证明。
而在此之前,这个问题已经困扰了数学界50年。
陶哲轩在Mastodon上宣布了这一消息,还在一篇博客中详细讲述了这个故事。
他强调,在AI的辅助下,人类团队仅用了48小时,就顺利攻克了这一难题。
并且,AI在此过程中带来的是全新理解,绝非搜索这么简单。
要知道,如果是靠传统方法,只靠数学家使用编程和文献检索,可能会需要数周甚至数月。
在这个过程中,AI实际上是在生成新的数学洞见,而不仅仅是检索现有文献。
Harmonic官网也宣布了这一消息,其AI系统Aristotle参与了此次解题过程。
Erdos#1026问题
1975年,传奇数学家保罗·埃尔德什在一篇论文的角落随手写下一个问题。
半个世纪后,这个问题静静躺在「埃尔德什问题网站」上,编号1026。
谁也没想到,它会在2025年的最后一个月,被一群数学家利用AI工具,在短短48小时内彻底破解。
埃尔德什的原问题,读起来有点像谜语。
给定一串不同的实数x1,x2,…,xn,定义S(x1,…,xn)为所有单调子序列(递增或递减)的最大可能和。
这个函数有什么性质?
问题一出,大家面面相觑:这到底要问什么?是求S的表达式?还是找它和总和的比值下界?
2025年9月12日,问题被挂上网站时,附加了一条注释:「该问题表述较为模糊。」
但数学家的本能,就是要把模糊变成精确。
当天,网友Desmond Weisenberg提出了一个清晰的游戏化解释:
Alice和Bob的硬币游戏
Alice有N枚硬币,她分成n堆,每堆xi枚(xi可不同)。Bob可以选取一个单调的子序列(递增或递减),拿走这些堆里所有硬币。
问:无论Alice怎么分堆,Bob至少能拿到总硬币数的多少比例?
这个比例,记作c(n)。
从n=3到平方数猜想
可以先看这样几个例子。
很快,Stijn Cambie发现:
如果Alice把硬币分成k2堆,每堆差不多大,并排列成k个递减块,每块k 堆,块之间递增,那么最长单调子序列只有k堆。
于是Bob最多拿到1/k的比例,也即c(k2)≤1/k。
反过来,Wouter van Doorn用已有结果给出下限:c(n)≥(1/√2)/√n。
那么,√n·c(n)的极限是多少?它在1/√2和1之间。
第二天,Stijn手算小n的值:
数据虽少,但已足够让他大胆猜想:c(k2)=1/k。
这意味着√n·c(n)→1,Bob在n很大时几乎能保证拿到约1/√n的比例。
AI出手了!
两个月后,2025年12月7日,Boris Alexeev用AI工具Aristotle在证明辅助语言Lean中自动证出了c(k2)=1/k。
几乎同时,Koishi Chan给出一个优美的人类证明——「膨胀法」。
至此,上下界合一,猜想成功得证。
更巧的是,这个答案,其实早就存在了。
Google Scholar很快找到一篇2016年论文,其中已有此结果,并引用了更早的Wagner用「膨胀法」处理埃尔德什-塞凯赖斯定理的工作。
原来,数学早已悄悄解决过这个问题,只是未被链接到埃尔德什的原始提问。
AI登场,猜出完整公式
但故事的高潮还在后面。
陶哲轩决定用另一个AI工具AlphaEvolve系统探索c(n)。
他让AI尝试构造使S尽量小的序列,很快得到n=1到16的数值结果:
这些分数看似杂乱,但重新排列后,模式逐渐浮现了出来。
Boris从中提炼出干净公式:
并构造出极值序列:用「红」「蓝」两种数值的块交替排列,控制单调子序列的长度。
下图直观展示了该构造(a≥0的情形):
而1/c(n)的图像,正是对√n的分段线性逼近:
连接经典正方形填充问题
随后,Lawrence Wu指出:此问题等价于一个正方形填充问题(埃尔德什问题106)。
Lawrence证明:c(n)≥1/f(n)。
理由:对任意序列,可构造一系列正方形,它们互不重叠地填满边长为S(x1,…,xn)的大正方形。
下图展示了从AlphaEvolve给出的一个序列构造出的正方形填充。
最后一击,文献中的完整解
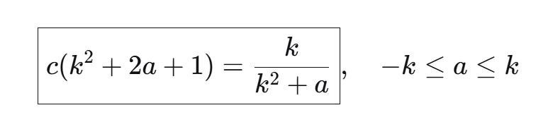
Lawrence再用AI深度搜索,找到了2024年Baek、Koizumi、Ueoro的论文,其中证明:f(k2+2c+1)≤k+c/k。
结合Praton的嵌入论证,这恰好给出:c(k2+2a+1)≤k/(k2+a)。
上下界再次吻合,猜想完全得证!
AI+人类,48小时极限突围
这个故事最让陶哲轩触动的一点是,能汇聚一群不同背景的人、文献和工具来攻克这个问题,是何等重要。
陶哲轩感慨道:
传统模式下,一两位数学家凭借简单工具,或许最终也能拼出全貌,但那可能需要数周甚至数月。而在这个协作网络中,所有关键环节在48小时内汇聚。
要陈述并证明c(n)的精确公式,需要基于多个观察结果,大概包括以下几点:
- 该序列可以被数值计算为有理数序列。
- 经过适当的归一化和排列后,序列中会出现肉眼可见的规律,让人能推测出序列的形式。
- 这个问题是Erdős-Szekeres定理的一个加权版本。
- 在Erdős-Szekeres定理的众多证明中,1959年Seidenberg的证明可以被解释为一种离散矩形填充论证。
- 这个问题可以被重新解释为连续正方形填充问题,实际上与Erdős问题106(关于此类填充)的(广义轴平行形式)密切相关。
- Erdős问题106的轴平行形式最近刚被Baek-Koizumi-Ueoro解决。
- Praton的论文表明,Erdős问题106蕴含了这个问题所需的广义版本。这个蕴含关系特指轴平行的情况。
正是靠着所有贡献者的通力合作以及他们使用的工具,所有这些关键线索才得以在48小时内汇集在一起。
如果换作传统的模式,只靠一两个数学家以及更简单的编程和文献搜索工具,虽然理论上最终也能把这些碎片拼凑起来,但这个过程会花长得多的时间(可能是数周甚至数月)。
另一个关键因素是Erdős问题网站上「平衡的AI政策」,它鼓励公开说明AI的使用情况,同时强烈反对隐瞒使用——
允许使用AI辅助编写评论,前提是:
(a)已对此进行公开说明;
(b)内容(包括数学推导、代码、数值数据及相关来源的存在性)已由用户自己在没有AI协助的情况下仔细核查与验证;
(c)评论篇幅在合理范围内,不过于冗长。
一道悬置50年的问题,在2025年的冬天,因为一次跨人机、跨时空的奇妙协作,终于画上了圆满的句号。
而这,可能只是一个新时代的开始。
参考资料:ZHB
https://terrytao.wordpress.com/2025/12/08/the-story-of-erdos-problem-126/
本文来自微信公众号“新智元”,作者:新智元,36氪经授权发布。



